By Peter Weiss
- More than 2 years ago
The next time you get a letter, its stamp might have printed on it examples of one the greatest conceptual tools of modern physics. The tool is a kind of line drawing, and a bunch of those drawings appear on the face of a new U.S. postage stamp honoring a legendary physicist, the late Richard P. Feynman.


![]()

Those drawings are ubiquitous in physics today. “If you walk into a physics building anywhere in the world, you see those [drawings] on the blackboards,” says David I. Kaiser, a physicist and historian at the Massachusetts Institute of Technology (MIT) who recently wrote a book about the sketches.
Created by Feynman in the 1940s to solve one of the most vexing puzzles of theoretical physics at the time—a feat for which he would share the 1965 Nobel Prize in Physics—the drawings give physicists a quick, intuitive way to organize and understand difficult calculations. As scientists were uncovering droves of new subatomic particles in the 1950s and 1960s, Feynman diagrams—as the drawings came to be known—offered a means for visualizing the unfamiliar entities and their interactions.
Because these cartoonish sketches seemed to depict subatomic particles breaking the established rules of quantum physics, many eminent physicists were initially reluctant to adopt them. In the 1940s, some young theorists who embraced the tool had to meet in secret to learn how to use it to tackle formidable calculations.
After only a few years, however, the approach caught on. “Feynman diagrams … revolutionized nearly every aspect of theoretical physics,” Kaiser says.
Picture perfect
Immortalized in books and plays, Feynman is adored as a mischief maker, impulsive explorer, drummer, and blunt, eccentric personality. He is equally adored for his dazzling intellect and groundbreaking contributions to quantum physics.
Like Feynman himself, the diagrams he created are both disarmingly straightforward and subtly complex, says longtime Feynman colleague and friend Barry C. Barish of the California Institute of Technology (CalTech) in Pasadena. Feynman taught at CalTech from 1950 until his death in 1988.
Although inscrutable to the uninitiated, a typical Feynman diagram looks simple. It might easily be a copy of a mysterious glyph from some prehistoric cave or a rudimentary type of trail map. For physicists, however, the diagrams offer a bare-bones way of representing extremely complicated mathematical expressions.
Before World War II, the world’s most brilliant physicists were frustrated by their inability to push forward understanding of quantum electrodynamics, the field that considers the nature of electricity and magnetism in realms where even atoms appear large and particles move at speeds near that of light. In these realms, both quantum mechanics and relativistic effects on time and space become important.
Physicists began by applying fundamental physical principles to calculate particles’ quantum-electrodynamic properties, but they got nonsensical answers, such as energies or masses that were infinite. Meanwhile, calculations of even the simplest of scenarios, such as a single electron absorbing a single photon, could fill pages with arcane mathematical expressions.
Seeking a way through the morass, Feynman turned to pictures. “He thought of things visually,” Barish says.
With his sketches, Feynman found that he could visualize interactions among particles. The drawings also served as shorthand for the equations, enabling Feynman to keep track of all the mathematical terms.
As he was making these pictures to visualize various terms, Feynman suddenly had an inkling of the revolutionary path he was on. “Wouldn’t it be funny if this turns out to be useful, and the Physical Review would be all full of these funny-looking pictures?” he thought to himself, as quoted in QED and the Men Who Made It (1994, Silvan S. Schweber, Princeton University Press) from a 1966 interview.
Critical mass
As prescient as Feynman’s musing proved to be, his drawings weren’t an instant hit. In fact, his first formal introduction of the diagrams to the finest minds in physics was a bust.
During a heady year beginning in the spring of 1947, Julian Schwinger of Harvard University finally managed to calculate a value for the strength of the electron’s magnetic field that agreed with new experimental findings. Meanwhile, Feynman, then a professor at Cornell University, learned that his diagrammatic approach could more easily yield similar answers.
Others became enchanted with Feynman’s technique. Among them was a young Cornell graduate student named Freeman J. Dyson. “I just thought that it was magic and it was my job to try to understand it,” recalls Dyson, now 81.
In March 1948, Feynman, then 29 years old, joined other up-and-coming pioneers of the new computational approaches to attend a tête-à-tête in the Pennsylvania mountains with many of the physicists already recognized as the intellectual giants of the era. The group included Niels Bohr, Paul Dirac, Enrico Fermi, and J. Robert Oppenheimer, then director of the Institute for Advanced Study in Princeton, N.J. The audience patiently followed an elaborate presentation by Schwinger, in which he presented virtuoso manipulations of thick jungles of equations.
But when Feynman stepped to the blackboard and started to scribble diagrams, the audience leaped to challenge him. Turning a deaf ear to the details of his method, many in the group demanded proof that the physics depicted in the diagrams wasn’t violating basic principles of quantum mechanics.
“The greats of quantum theory had no idea what he was doing,” MIT’s Kaiser says. “They were dismissive. They took the chalk out of [Feynman’s] hand.”
In the fall of 1948, Dyson moved to the Institute for Advanced Study, where he still is today. Initially, Oppenheimer so thoroughly disapproved of Feynman’s diagrams that he would interrupt every time Dyson tried to speak about the method. When other postdoctoral students urged Dyson to give talks about the new approach, the group had to meet secretly. In time, these initiates became ambassadors for the technique, which they helped to spread throughout the particle physics community.
Diagrams 101
Making intuitive sense of simple Feynman diagrams requires only learning the meanings of a few lines and following some easy rules.
Typically, the diagrams contain straight, solid lines representing particles of matter or antimatter, such as electrons or positrons, and wavy or dashed lines representing force-carrying particles, such as photons. The particles appear as lines because those pointlike particles are moving through space and time. A common rule is that time advances from the bottom to the top of the diagram.
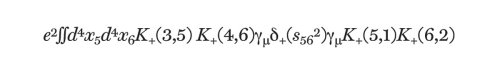
Consider the Feynman diagram (above) that looks a bit like a person in a spread-eagle stance. It represents electrons repelling each other. This example was one that Feynman presented at the diagrams’ flop of a debut, and it was also one of the first Feynman diagrams to be published. A similar diagram appeared on Feynman’s left shoulder, in the new postage stamp.
In the spread-eagle diagram, an electron appearing from the bottom right emits a photon of light, the wavy line. In response to firing off that photon, the electron recoils to the right. As the electron on the left absorbs the photon, it gets a momentum kick to the left. Voilà! The two particles, both with similar, negative electric charges, repel each other.
While literally getting the picture can be that easy, making the diagram is typically just the beginning of a process in which the physicist uses standard rules to map each line segment and intersection of lines to specific mathematical terms. For Feynman’s readily understood spread-eagle diagram, Kaiser notes, the mathematical result looks like this:
The Feynman diagram doesn’t make it any easier for physicists to actually compute a number from such a mathematical expression. What it does do, Barish says, is guide them to the correct expression and show them how to manipulate it.
Before Feynman diagrams, even the simplest calculations were “a nightmare,” says Toichiro (Tom) Kinoshita of Cornell. They “took months of effort, which Feynman diagrams render[ed] to a few hours of work,” he says. Once physicists got the knack of using diagrams to depict interactions involving the electromagnetic force, “people could handle incredibly complicated calculations they hadn’t dreamed were possible before,” adds Kaiser.
A new book by Kaiser entitled Drawing Theories Apart (2005, University of Chicago Press), which was released July 15, chronicles the diffusion of Feynman diagrams. A condensed version appeared in the March-April American Scientist.
As Feynman’s new technique spread in the early 1950s, physicists started applying the diagrams to areas outside the theory of quantum electrodynamics. Today, those areas span a broad reach of physics, including studies of gravity, quark-containing particles such as mesons, and many-atom systems such as solids or liquids. In each of these cases, physicists have used the diagrams to conceptualize phenomena and to translate them into mathematics.
Theorists, including Feynman himself, were sometimes skeptical of such expansions. In a 1951 letter, Feynman warned Enrico Fermi, “Don’t believe any calculation in meson theory which uses a Feynman diagram!”
Nonetheless, the method proved to be highly fruitful. “The power of those diagrams and much of the reason for their resilience, is that they can be used to represent and keep track of, in a very useful way, an inordinate amount of very sophisticated physics,” says CalTech theorist H. David Politzer. He shared the 2004 Nobel Prize in Physics for a 1970s advance that used modified Feynman diagrams to solve problems in quark theory, or quantum chromodynamics.
Back to the future
Although physics has changed and expanded vastly since Feynman came up with his diagrams, the technique remains a major tool. It’s “flourishing more and more all the time,” Kaiser says.
In the field of quantum electrodynamics, some researchers carry out ever-more-complex computations using ever-greater numbers of diagrams. Their aim is to predict with unprecedented precision important properties of specific particles.
For example, in an ongoing effort to determine the strength of the magnetic field of the electron with increasing precision, Kinoshita and three colleagues are generating and analyzing a record-breaking 12,672 Feynman diagrams.
The most precise prior calculation of that property employed 891 Feynman diagrams, which translated into more than 100 mathematical expressions called integrals, notes Kinoshita. Computing each integral, which contains tens of thousands of terms, required “more than 3 or 4 months of computation on high-speed parallel computers,” he says.
Kinoshita completed that computation last May after working on it with a series of graduate students for nearly 25 years and using more than a decade of computer time.
Efforts to evaluate Feynman diagrams by computer date to the early 1960s.
In the late 1970s, one such effort at CalTech led to a high-profile spin-off. Stephen Wolfram, a physics wunderkind who is now renowned as the promoter of a controversial, computational approach to science (SN: 3/20/04, p. 189; 8/16/03, p. 106), was then a graduate student writing software to solve the math related to Feynman diagrams. In the process, Wolfram came up with new ways of manipulating the algebraic symbols that those diagrams represent.
“That led me to the realization that you could use computers to do all kinds of algebra,” recalls Wolfram. By the mid-1980s, he had created a now widely used computer-algebra software package called Mathematica. Today, researchers continue to improve the software to automate ultrahigh-precision calculations.
As theoretical physics evolves, so do Feynman diagrams. For instance, a thriving branch of physics known as string theory holds that the fundamental ingredients of matter and energy are not pointlike particles but infinitesimal, stringlike entities (SN: 9/25/04, p. 202). This concept has begotten novel versions of the diagrams based on those strings.
In one such diagram, moving strands are pictured as made up of sheetlike, wavy surfaces. In another type of diagram, strings that are closed back on themselves as loops and moving through space-time appear as branching, tubular figures, notes string theorist Barton Zwiebach of MIT.
The diagrams for string theory and their accompanying mathematics have broad applications. For instance, scientists are using them to calculate specific properties of gluons, which prevailing theory identifies as point particles, Zwiebach says. Those results, in turn, may guide future accelerator experiments seeking a new family of fundamental particles known as supersymmetric partners.
Similarly, Kinoshita’s quantum-electrodynamics calculations aim to uncover discrepancies between theory and experiment that could yield signs of never-before-discovered particles.
Like the trail maps that they resemble, Feynman diagrams continue to point the way for physicists. “For all of Feynman’s many contributions to modern physics,” Kaiser says, “his diagrams have had the widest and longest-lasting influence.”
Van Go
Delivering Feynman’s vision to the people
In the late 1980s, when Michelle Feynman would drive up in a big brown-and-tan van covered with odd-looking symbols, the other students at her Pasadena, Calif., art college would gape. Those trying to decipher the symbols didn’t know that she was the daughter of the quantum physicist Richard P. Feynman, who had created the figures. The license plate reading “QANTUM” didn’t clue the students in either.
Most onlookers reckoned that the pictures decorating the 1975 Dodge Tradesman Maxivan were some sort of Native American designs, Michelle Feynman recalls, not the innovative depictions of subatomic particles that had helped her father win a share of the 1965 Nobel Prize in Physics. “People had no idea what to make of them,” she says.
The display on the van, now garaged in Torrance, Calif., was the beginning of a spotty but still-growing public awareness of Feynman diagrams, which first appeared in abstruse physics journals decades earlier.
On May 11, 1988,* Feynman diagrams were briefly in the public eye when a post office in Lake Worth, Fla., used one of them as its stamp cancellation to honor Richard Feynman, who had died in February of that year, on what would have been his 80th birthday.
Last May, Feynman diagrams appeared on one of four U.S. postage stamps honoring American scientists. Graphic artist Victor Stabin of Jim Thorpe, Pa., who designed the stamps, says that the diagrams lend intrigue. “They don’t look like any other symbols you’ve ever seen,” he says.
Michelle Feynman says that she’d like the images on the stamps to have the same effect on people today that the figures on the van did—and then some. “I hope young people will be curious about the faces and the squiggles and become inspired to explore science,” she says.
*Online version of this sentence updated to correct an error.