BPA: EPA hasn’t identified a safer alternative for thermal paper
But it’s currently looking for one among 18 candidates
Since mid-summer, concerns about exposure to bisphenol A — a hormonelike pollutant — have focused on store receipts. Some researchers and public interest groups have been arguing that BPAfree paper is a preferable alternative, at least from a health perspective. But is it really?

That’s what Environmental Protection Agency scientists want to know. And to date, they maintain, the jury’s still out.
A significant share of the thermal paper used to print store and gas-pump receipts in North America and Europe relies on a color-change chemistry that employs BPA. The leading manufacturer of thermal receipt papers in the United States doesn’t — and on November 8 announced it had begun adding tiny red fibers to its BPAfree receipt-paper stock so that consumers could at a glance identify receipts that wouldn’t shed the controversial chemical.
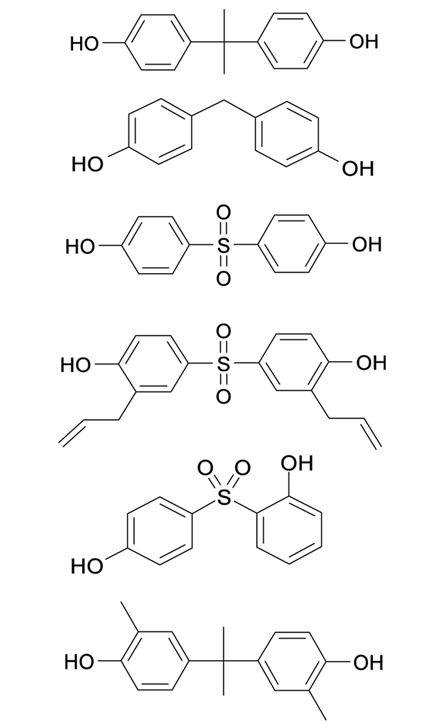
When I spoke with Appleton Paper’s vice president Kent Willetts about its BPA alternative this past summer, he identified it as bisphenol sulfonate. Last week, I queried the company again about this and its spokesman described the compound as diphenyl sulfone, which he noted is also known as BPS — short for bisphenol S. According to EPA, that BPS actually should be referred to as 4-hydroxyphenyl sulfone.
What’s really at issue, though, is not its name but the chemical’s safety. After all, Appleton switched away from BPA, Willetts says, when a flurry of research papers began pointing to its hormonal alter ego. His company’s scientists reviewed the safety data available for a host of potential substitutes and decided BPS would do the job without carrying the same toxicological baggage.
Moreover, he noted, “the Design for the Environment working group, which we’re part of with the EPA, knows what our substitute is. In fact, it’s on [the group’s] list of alternatives.”
Willetts was referring to an EPA program that has been developing voluntary partnerships between the agency and manufacturers, stores, public interest groups and more to identify and adopt greener alternatives to constituents in consumer products. Earlier this year, EPA added BPA-laced thermal receipt papers to this program.
The alternative that Appleton has chosen is among 18 substitutes for thermal paper that EPA’s DfE program is evaluating in terms of toxicity and environmental persistence. A baker’s dozen of those candidates are already being used in thermal paper somewhere around the world. But it would be unfair to characterize DfE as having selected any as winners, according to Cal Baier-Anderson, EPA’s contact for the program.
“Indeed,” she volunteers, “we have no opinion on the alternatives that we’ve identified because we haven’t completed our analysis yet.” When her program does, it will mark “the first systematic evaluation of the hazard profiles of chemicals that can substitute for BPA in thermal paper,” Baier-Anderson notes. Until then, she emphasizes, any chemical’s appearance on the list of alternatives should not be interpreted as an endorsement or a suggestion of its safety.
The program’s goal is to identify perhaps a handful of low-cost, readily available, nontoxic chemicals that work as well or better than BPA for thermal printing. In fact, that’s probably a pipe dream. “It’s unlikely that EPA is going to come out with the list of preferred chemicals,” Baier-Anderson says, because hazard assessments like this one usually identify nothing more than a list of tradeoffs.
For instance, she offers, “one alternative may not be a reproductive toxicant but it may be an acute aquatic toxicant.” In such instances, EPA may simply leave it to each manufacturer to select its own less-than-perfect stand-in for BPA.
And when can people expect to see the program’s assessment of the candidates? Right now the goal is May 2011, with a formal comparison of the candidate chemicals available for public distribution around October.